Undergraduate authors are highlighted (underline), # indicates authors contributed equally, * indicates corresponding authors.
42. Batool et al. (2026) in preparation
41. Ping Y et al. (2026) in revision
40. Chai W,# Luo S,#, Xi W, He X, Zhang T, Zou Y*, Hai Y*. (2026) Pyridoxal 5′-Phosphate-Dependent Enzymatic Decarboxylative Annulation. J. Am. Chem. Soc. 148, 9, 9709–9719 LINK

39. Mou S, and Hai Y*. (2026) Advances in artificial biosynthesis of bioactive plant natural products. Curr. Opin. Biotechnol. 97,103425. LINK
38. Liu S, and Hai Y*. (2025) Engineering a PLP-dependent Mannichase. Methods Enzymol. 721, 121-133. LINK
37. Liu S, Batool Z, and Hai Y*. (2026) Biosynthesis of the α-D-mannosidase inhibitor (−)-Swainsonine. Nat. Chem. Biol. 22(2):284-292. LINK bioRxiv

36. Forana M, Aucklooa N, Candace Hoa Y, Liu S, Hai Y and Jenner M* (2025) Biochemical dissection of a fungal highly reducing polyketide synthase condensing region reveals basis for acyl group selection. Chem. Sci. 16 (29), 13173-13182 LINK

35. Lara D, Zeng T, Hai Y*. (2025) A self-sufficient β-Methylarginine Biosynthetic Pathway in Planctomycetes. ChemBioChem 26, 16, e202500331 LINK

34. Gao J,# Liu D,# Nguyen C, McCormick S, Proctor HR, Luo S, Zou Y and Hai Y* (2025) Biosynthesis of the Central Tricyclic Skeleton of Trichothecene Mycotoxins. J. Am. Chem. Soc. 147, 12, 10331–10338. LINK

33. Gao J, Xu Y, Yeh C, Zou Y, and Hai Y* (2025) Cysteine S-conjugate sulfoxide β-lyase activity for human ACCS. FEBS J. 292, 2272-2286 LINK.
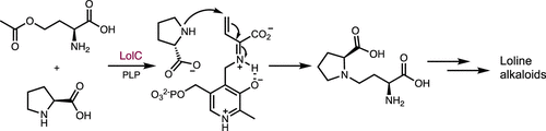
32. Xu Y, Liu S, Gao J, and Hai Y*. (2024)Molecular Basis for Cγ-N Bond Formation by PLP-Dependent Enzyme LolC. Biochemistry 63, 24, 3348-3356. LINK

31. Liu S, Gao J, Zou Y, and Hai Y* (2024) Enzymatic synthesis of unprotected a,b-diamino acids via direct asymmetric Mannich reaction. J. Am. Chem. Soc. 146, 29, 20263–20269. LINK

30. Liu S, Yeh C, Reavill C, Jones B, Zou Y, and Hai Y* (2023) Angew. Chem. Int. Ed. 63 (13),
e202317161. LINK

29. Liu S, and Hai Y* (2023) Chemoenzymatic Approaches to Izidine Alkaloids: An Efficient Total Synthesis of (+)-Absouline and Laburnamine. ACS Catal. 13, 15725-15729. LINK This paper is highlighted by OPR&D.

28. Liu S, Lara D, and Hai Y*. (2023) Mining the noncanonical terpenome. Nat. Chem. Biol. (News and Views) LINK
27. Gao J, Zhou C, and Hai Y*. (2023) Stereoselective Biocatalytic α-Deuteration of L-Amino Acids by a Pyridoxal 5′-Phosphate Dependent Mannich Cyclase. ChemBIoChem 24, 23, e202300561. LINK This paper is highlighted by ChemistryNews.

26. Gao J,# Liu S,# Zhou C, Lara D, Zou Y,* and Hai Y* (2023) A pyridoxal 5′-phosphate-dependent Mannich cyclase. Nat. Catal. 6, 476-486. LINK

25. Jenner M,#* Hai Y,#* Nguyen HH, Passmore M, Skyrud W, Kim J, Garg N, Zhang W, Loo RRO, and Tang Y. (2023) Elucidating the molecular programming rule of a nonlinear non-ribosomal peptide synthetase responsible for fungal siderophore biosynthesis. Nat. Commun. 14, 2832. LINK Behind the paper story by Matt

24. Hai Y,#* Chen M,#* Huang A, and Tang Y* (2020) Biosynthesis of mycotoxin fusaric acid and application of a PLP-dependent enzyme for chemoenzymatic synthesis of substituted L-pipecolic acids. J. Am. Chem. Soc. 142, 46, 19668-19677. LINK
Prior to UCSB:
23. Hai Y, Jenner M, Tang Y. (2020) Fungal siderophore biosynthesis catalysed by an iterative nonribosomal peptide synthetase. Chem. Sci. 11, 11525-11530. LINK
22. Hai Y, Huang A, Tang Y. (2020) Biosynthesis of amino acid-derived alpha-pyrones by an NRPS-NRPKS hybrid megasynthetase in fungi. J. Nat. Prod. 83, 593-600. LINK
21. Yee DA, Kakule T, Cheng W, Chen M, Chong C, Hai, Y.; Hang L, Hung Y, Liu N, Ohashi M, Okorafor I, Song Y, Tang M-C, Zhang Z, Tang Y. (2020) Genome mining of alkaloidal terpenoids from a hybrid terpene and nonribosomal peptide biosynthetic pathway. J. Am. Chem. Soc. 142, 710-714. LINK
20. Hai Y.; Jenner M, Tang Y. (2019) Complete stereoinversion of L-tryptophan by a fungal single-module nonribosomal peptide synthetase. J. Am. Chem. Soc. 141, 8198-8206. LINK
19. Cai Y, Hai, Y.; Ohashi M, Jamieson CS, Garcia-Borras M, Houk KN, Zhou J, Tang Y. (2019) Structural basis for stereoselective dehydration and hydrogen-bonding catalysis by the SAM-dependent pericyclase LepI. Nat. Chem. 11, 812-820. LINK
18. Hai Y.; Huang A, Tang Y. (2019) Structure-guided function discovery of an NRPS-like glycine betaine reductase for choline biosynthesis in fungi. Proc. Natl. Acad. Sci. USA 116, 10348-10353. LINK
17. Hai Y.; and Tang Y. (2018) Biosynthesis of long-chain N-acyl amide by a truncated polyketide synthase-nonribosomal peptide synthetase hybrid megasynthase in fungi. J. Am. Chem. Soc.140, 1271-1274. LINK
16. Ohashi M, Liu F, Hai, Y.; Chen M, Tang MC, Yang Z, Sato M, Watanabe K, Houk KN, Tang Y. (2017) SAM-dependent enzyme-catalysed pericyclic reactions in natural product biosynthesis. Nature 549, 502-506. LINK
15. Bitler BG, Wu S, Park PH, Hai, Y.; Aird KM, Wang Y, Zhai Y, Kossenkov AV, Vara-Ailor A, Rauscher Iii FJ, Zou W, Speicher DW, Huntsman DG, Conejo-Garcia JR, Cho KR, Christianson DW, Zhang R. (2017) ARID1A-mutated ovarian cancers depend on HDAC6 activity. Nat. Cell Biol. 19, 962-973. LINK
14. Kasznel AJ, Zhang Y, Hai, Y.; Chenoweth DM. (2017) Structural basis of for aza-glycine stabilization of collagen. J. Am. Chem. Soc.139, 9427-9430. LINK
13. Hai, Y.; Shinsky SA, Porter NJ, Christianson DW. (2017) Histone deacetylase 10 structure and molecular function as a polyamine deacetylase. Nat. Commun.8, 15368. LINK
12. Gao SS, Garcia-Borràs M, Barber JS, Hai, Y.; Duan A, Garg NK, Houk KN, Tang Y. (2017) Enzyme-catalyzed intramolecular enantioselective hydroalkoxylation. J. Am. Chem. Soc. 139, 3639-3642. LINK
11. Hai, Y.; and Christianson DW. (2016) Histone deacetylase 6 structure and molecular basis of catalysis and inhibition. Nat. Chem. Biol. 12, 741-747. Highlighted by Chem. & Eng. News. “Biological structures of the year” LINK
10. Hai, Y.; and Christianson DW. (2016) Crystal structures of Leishmania mexicana arginase complexed with α,α-disubstituted boronic amino acid inhibitors. Acta Cryst. F72, 300-306. LINK
9. Hai, Y.; Kerkhoven EJ, Barrett MP, Christianson DW. (2015) Crystal structure of an arginase-like protein from Trypanosoma brucei that evolved without a binuclear manganese cluster. Biochemistry 54, 458-471. LINK
8. Hai, Y.; Edwards JE, Van Zandt MC, Hoffmann KF, Christianson DW. (2014) Crystal structure of Schistosoma mansoni arginase, a potential drug target for the treatment of schistosomiasis. Biochemistry 53, 4671-4684. LINK
7. Hai, Y.; Dugery RJ, Healy D, Christianson DW. (2013) Formiminoglutamase from Trypanosoma Cruzi is an arginase-like manganese metalloenzyme. Biochemistry 52, 9294-9309. LINK
6. D’Antonio EL, Ullman B, Roberts SC, Dixit UG, Wilson ME, Hai, Y.; Christianson DW. (2013) Crystal structure of arginase from Leishmania mexicana and implications for the inhibition of polyamine biosynthesis in parasitic infections. Arch. Biochem. Biophys. 535, 163-176. LINK
5. D’Antonio EL, Hai, Y.; Christianson DW. (2012) Structure and function of non-native metal clusters in human arginase I. Biochemistry 51, 8399-8409. LINK
4. Chen JJ, Jing J, Chang H, Rong Y, Hai, Y.; Tang J, Zhang JL, Xu P. (2013) A sensitive and quantitative autolysosome probe for detecting autophagic activity in live and prestained fixed cells. Autophagy 9, 894-904. LINK
3. Jing J, Chen JJ, Hai, Y.; Zhan J, Xu P, Zhang, J.-L. (2012) Rational design of ZnSalen as a single and two photon activatable fluorophore in living cells. Chem. Sci. 3, 3315-3320. LINK
2. Cai YB, Zhan J, Hai, Y. Zhang JL. (2012) Molecular assembly directed by metal–aromatic interactions: control of the aggregation and photophysical properties of Zn–Salen complexes by aromatic mercuration. Chem. Eur. J. 18, 4242-4249. LINK
1. Hai, Y., Chen JJ, Zhao P, Lv H, Yu Y, Xu P, Zhang JL. (2011) Luminescent zinc salen complexes as single and two-photon fluorescence subcellular imaging probes.Chem. Commun. 47, 2435-2437. LINK
PATENT APPLICATIONS
Hai, Y.; Gao, J.; Liu, S. “Compositions, Systems, and Methods for Performing a Mannich Cyclization Reaction”, Patent US20250027123A1.
Hai, Y.; & Tang, Y. “Methods for producing D-tryptophan and substituted D-tryptophans”, Patent WO2021055696.
